發布時間:2025-04-30 15:42 文字大小: [ 大 中 小 ] 瀏覽次數:
居民身份證受理點
為更好滿足2025年五一期間
群眾辦理居民身份證服務需求
無錫公安延續
“窗口不打烊、服務不缺位”承諾
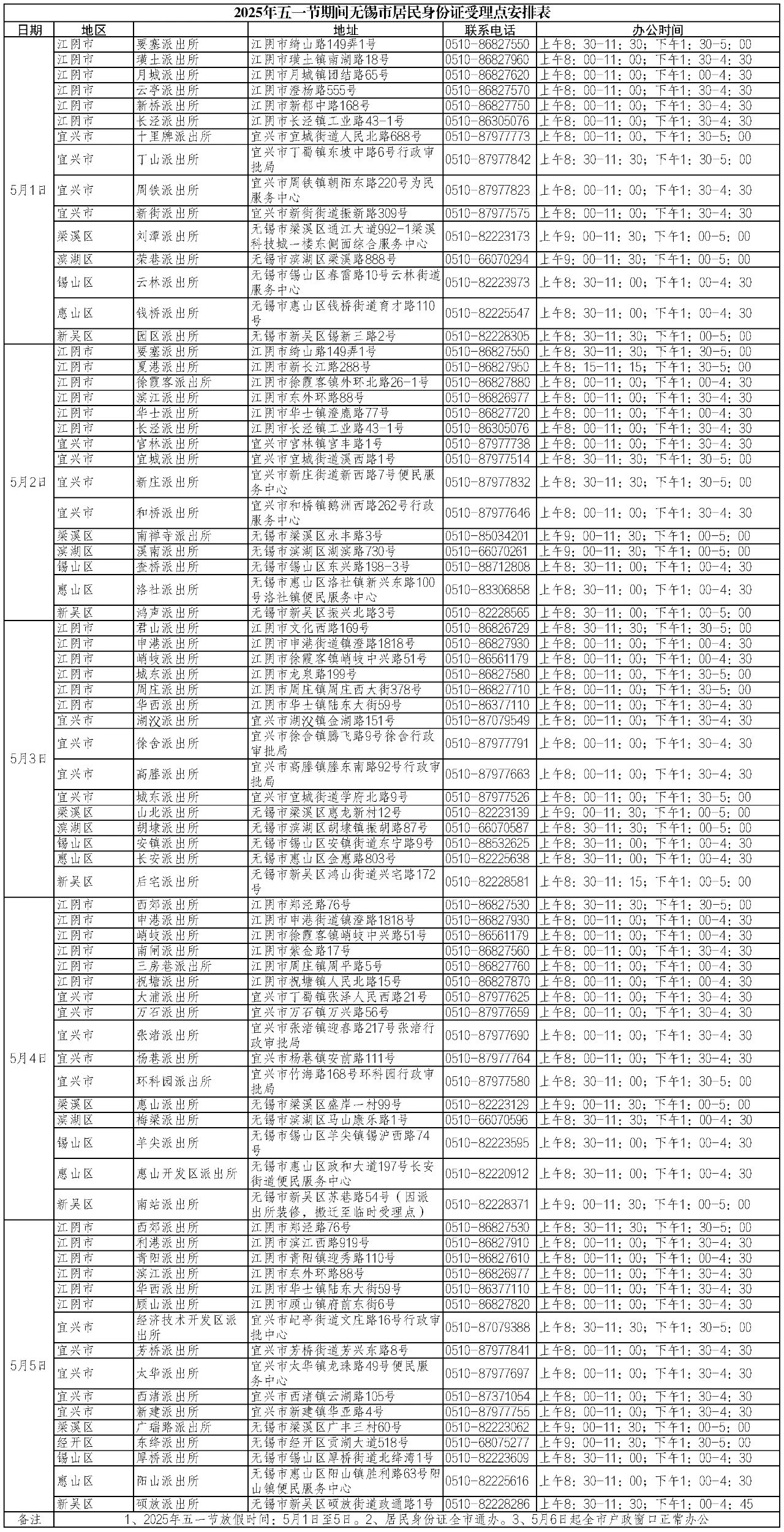
5月1日至5日,各市(縣)、區公安戶籍窗口開設居民身份證受理點正常辦理業務。
5月6日起,全市各居民身份證窗口正常辦公。
居民身份證實行全市通辦,即全市所有公安戶籍窗口均可辦理居民身份證業務。
2025年五一節期間
無錫市居民身份證受理點安排表

出入境窗口

來源:無錫公安微警務
當前位置:













